想了解设备资料?报价?售后?请留言,速回电
厂家直销,留言立享本月优惠价免费提供环保政策、办厂手续、投资预算等资料
雷蒙磨作为各种矿石的主要磨粉设备,相比其他磨粉设备有哪些优势呢?开云登陆入口机器为您分析有关雷蒙磨粉机的优势。
(1)雷蒙磨(由于是立式结构,占地面积较小。
(2)雷蒙磨的成套性强,从块料粉碎到成品包装,能独立自成生产体系。
(3)经过雷蒙磨研磨的成品粒度均能达到所需细度的99%通过,这是其他磨粉机所不能胜任的。
.jpg)
(4)由于采用了电磁振动给料机,易于调节,给料均匀,体积小重量轻,省油省电,使用维护方便。
(5)电气采用集中控制,选型先进。
(6)主机传动装置采用密闭齿轮减速器,传动平稳、运转可靠,无渗漏油现象。
(7)主机铲刀架磨损后便于更换,铲刀架由上下二部分组成,下部磨损后拆卸联接螺栓可调换。
(8)主机传动部件,仍为带轮带动传动轴通过一对伞形齿轮,驱动主轴旋转,目前生产的雷蒙磨(雷蒙磨粉机),为下置式电机与传动机构,取消了传动系统,提高了效率,结构更紧凑。
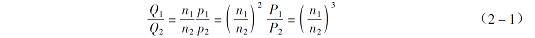
(9)风机转速变化与风量、风压、功率的变化关系式如下:
![]()
式中 Q1 --- 变化前风量,m3/h;Q2 --- 变化后风量,m3/h;n1 --- 变化前风机转速,r/min;n2 --- 变化后风机转速,r/min;P1 --- 变化前风压,Pa;P2 --- 变化后风压,Pa;P1 ---变化前功率,kW;P2 ---变化后功率,kW。
如要改变转速,必须遵循上述原则。
雷蒙磨粉机价格详细垂询:0371-67772626
雷蒙磨粉机厂家地址:郑州-国家高新技术产业开发区檀香路8号
想了解设备资料?报价?售后?请留言,速回电
厂家直销,留言立享本月优惠价免费提供环保政策、办厂手续、投资预算等资料
3分钟前 高先生:时产200吨制砂机报个价,处理鹅卵石
8分钟前 李先生:移动式破碎机怎么解决粉尘问题?
13分钟前 徐女士:需要制砂机,南宁能看制砂现场吗?
16分钟前 程先生:破碎生产线出个方案及报价,有什么售后服务?
22分钟前 郑女士:想了解时产500吨锤破,加工石灰石
31分钟前 吴先生:成套石头破碎设备有吗?给个详细产品资料
36分钟前 罗先生:每小时100吨左右的鄂破和反击破,推荐下型号
42分钟前 梁先生:膨润土磨到200目,用什么磨粉设备?
提交留言我们会第一时间回复您!
目前市场上比较先进且应用较广的制粉设备当属雷蒙磨粉机,小编带着大家一块来了解一下雷蒙磨粉机结构特点,加深您对雷蒙磨粉机的认识!
2015-03-27对辊式破碎机是一种应用非常广泛的破碎机械。在煤矿中,粉碎炸药的原材料硝酸铵的主要设备是对辊式破碎机。该对辊式破碎机的工作原理及结构特征详见下文介绍。
2013-10-24高压辊磨机采用的是料床粉碎原理,它主要是区别于单颗粒粉碎,料层粉碎只有少部分的颗粒与粉碎设备直接接触,物料在压力的作用下,相互挤压而粉碎。料层粉碎的特点有如下几个
2013-04-12开云登陆入口为您介绍FJC系列煤用喷射式浮选机的主要结构充气搅拌装置、槽体、刮泡机构、循环泵的作用,以及喷射式浮选机的工作原理
2012-06-13箱式激振器结构紧凑,激振器的四个偏心重成双地布置在箱体的外部,箱体内有一对啮合的齿轮,其作用是保证两对偏心重旋转方向相反、转速相等以及两者相位关系正好互相对正,以使筛箱作直线往复运动。
2009-07-22雷蒙磨(雷蒙磨粉机)又称悬辊磨或雷蒙磨,用途非常广泛,是一种“环_辊”碾磨结合气流筛选、气力输送形式以制粉设备。雷蒙磨(摆式磨粉机)属于圆盘不动型盘磨机。
2009-07-19