想了解设备资料?报价?售后?请留言,速回电
厂家直销,留言立享本月优惠价免费提供环保政策、办厂手续、投资预算等资料
辊式破碎机工作参数包含多项内容,下面是计算辊子直径、钳子和辊子的转速的计算方式。
.jpg)
1. 辊子直径
(1)辊式破碎机辊子直径φ与给料粒度d、排料口宽度e、物料与辊面之间的摩擦系数f,以及齿面类型等因素有关,对于光面辊子,其理论公式可以推导如下:
辊子直径φ与给料粒度d之间的关系,主要取决于钳角α与摩擦角μ0。或摩擦系数f之间的关系(见图1-5)。设给料为球形,通过物料与辊子的接触点作切线,两条切线之间出夹角为α(钳角),辊子在物料上的正压力为F以及由它所引起的摩擦力fF。而料块的重大G较之作用力小得多,故可忽略不计。
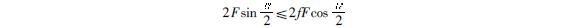
将F和fF分解为水平分力和垂直分力,只有在下列条件下,物料不在辊面上打滑,而被两个相向运动的辊子卷入破碎腔:

![]()
![]()
或 ![]()
式中μ0为摩擦角,通常 ![]()
由直角三角形关系可得出:
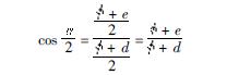
由于eφ<<φ,可以忽略,则为
以α≈33°20′代入,得出![]()
(2)齿面辊式破碎机的φ/d比值较光面辊式破碎机的比值小,其值视齿形及齿高而定,使用正常齿时,φ/d≈1.5-6;使用槽形辊面时,φ/d≈10-12。
(1).jpg)
2. 钳角
物料与两辊子接触点的切线夹角α称为辊式破碎机的钳角,见图 1-5 。
与颚式破碎机一样,为了能钳住物料进行破碎,要求辊式破碎机有一定的钳角。钳角的极限值可以从辊子直径运算中得出α≤2μ0,即钳角应小于或等于物料与辊子之间的摩擦角的2倍。
对干硬物料(如石灰石、砂岩等)在金属表面上的摩擦系数f=0.3;湿软物料(粘土等)f=0.45。与此相应的钳角分别为33°20′和48°40′,实际上采用的钳角要小些。
对于 φ/d 的比值由辊式破碎机的破碎比来求得,因辊式破碎机的破碎比一般为i=4,故e/d=0.25。并将前述α的极限值代入式(1-3)可得
对于干硬物料φ/d=17;对于湿软物料 φ/d=7.5 。实际上,为了使破碎机可靠地进行工作,的数值还必须大20%-25%,此时辊子直径要比物料尺寸大9-22倍。
根据上述计算得出辊子直径与物料直径为:对破碎干、脆性物料时,光面辊φ/d=20-21;齿面辊φ/d=1.5-6 ;槽面辊φ/d=10-12。
对湿软物料,光面辊 φ/d=6-9,齿面或槽面辊子不适宜破碎湿软物料。
3. 辊式破碎机辊子的转速
由生产能力的计算公式可以得出,提高辊子的转速,可提高生产能力。但是在实际生产中,转速的提高有一定的限度,超过此限度,落在转辊上的料块在较大的离心惯性力的作用下,就不易钳进转辊之间。这时,生产能力不但没有提高,反而引起电耗增加,棍子表面的磨损及机械振动增大。根据物料在辊子上的离心惯性力与各作用力的平衡条件,可得出当破碎比i≈4时,光面辊式破碎机蹬极限转速为:![]()
式中 ρ---物料的密度,kg/cm3;
d---喂入破碎机的物料直径,cm;
φ---辊子直径,cm。
实际上,为了减小破碎机的振动与辊子表面的磨损,辊子转速取为![]()
光面辊子取上限值,槽面与齿面辊子则取下限值,辊子的合理转速一般通过实验确定。目前使用的辊式破碎机,辊子的圆周速度在0.5-3m/s之间,对于硬质物料,取1-2m/s;对于软质物料可达6-7m/s。
辊式破碎机价格详细垂询:0371-67772626
辊式破碎机厂家地址:郑州-国家高新技术产业开发区檀香路8号
上一篇:冲击式破碎机的工作原理及性能
下一篇:对辊破碎机的工作原理与结构
想了解设备资料?报价?售后?请留言,速回电
厂家直销,留言立享本月优惠价免费提供环保政策、办厂手续、投资预算等资料
3分钟前 高先生:时产200吨制砂机报个价,处理鹅卵石
8分钟前 李先生:移动式破碎机怎么解决粉尘问题?
13分钟前 徐女士:需要制砂机,南宁能看制砂现场吗?
16分钟前 程先生:破碎生产线出个方案及报价,有什么售后服务?
22分钟前 郑女士:想了解时产500吨锤破,加工石灰石
31分钟前 吴先生:成套石头破碎设备有吗?给个详细产品资料
36分钟前 罗先生:每小时100吨左右的鄂破和反击破,推荐下型号
42分钟前 梁先生:膨润土磨到200目,用什么磨粉设备?
提交留言我们会第一时间回复您!
液压系统集成在润滑站上,此系统主要包括液压站、锁紧缸、过铁释放缸、蓄能器、连接油管等。液压站是一个成套设备,它由油箱、电动机、双液压泵、仪表、压力开关、液压元件以及电控元件等组成。
2014-04-12辊式破碎机的安全使用方法和双辊破碎机工作时要特别注意事项。
2014-04-02旋回破碎机是破碎生产线和制砂生产线的重要机械设备。其各结构参数的选择与计算是否合理,对破碎机的破碎效率有很大的影响,因此本文主要介绍破碎机各结构参数的选择计算方法。
2013-06-10振动输送机具有结构简单、安装、维修方便、能耗低、无粉尘溢散、噪音低等优点。其动力学参数的计算主要包括主振弹簧弹片的确定、电机动率的计算两方面,下文将介绍着两个参数的计算方法。
2013-05-13离心式选粉机也称为内部循环式选粉机,在水泥工业中应用尤为广泛,是水泥生产的重要且关键设备之一。选粉机的工艺参数设计对水泥生产有很大的影响。本文主要介绍离心式选粉机基本工艺参数的确定方法。
2013-04-09摇床是分选细粒矿石时常用的设备,其特点是分选精确性较高,经过一次选别就能够得到高品位精矿或者废弃尾矿。摇床的高分选率取决于其工艺操作参数,本文就来介绍摇床的一些工艺参数的确定方法以供参考。
2013-01-08